Aspirar a lo inalcanzable
Inspiración en Substack para escribir sobre poliedros y esferas, epistémicos y morales
El mundo no cabe en una hoja. Ni de pergamino ni de Excel. Pero sin un mapa, vamos ciegos. A tientas, desnortados. Sin embargo, no podemos contentarnos con ningún mapa. Porque ninguno de los nuestros ha conseguido cartografiar sin error, por más que lo hayamos intentado desde hace siglos. Hemos tratado de trazar con precisión de cirujano, y aun así siempre dejamos costuras. Cada línea que enderezamos deforma otra algo más lejos. Y esto sucede en la cartografía pero también en la lógica, en las matemáticas, en las redes distribuidas, en los algoritmos, en la economía. El mundo parece tenazmente complejo y escurridizo, desde los electrones inaprensibles, pasando por nuestra fisiología tensionada hasta los ecosistemas masivos. Y, por tanto, nuestras aproximaciones constantemente hallan aporías, contradicciones, especialmente cuando se enfrentan a terrenos resbaladizos como el de la moral. Por lo que social y políticamente la pluralidad parece obligada.
No obstante, la intuición hacia la totalidad, la aspiración por alcanzar la verdad completa y precisa, por hacer lo que está bien, no sólo es tentadora sino también irrenunciable. Es el motor que nos mueve en cada aproximación concreta que edificamos. Aunque sea como horizonte para inspirar la mejora posible, para fijar una métrica de objetividad plausible. Y en su búsqueda seguimos repitiendo el mismo gesto, aunque lo hagamos con nombres diversos: modelo, teoría, ecuación, ideología, moral... Cada uno promete domar el exceso, contener lo real en su forma. Pero seguimos comprobando, como Gauss, que toda esfera se desfigura al romperse en el plano. Que la lógica, como Gödel, se nos rasga en cuanto la estiramos en distintas dimensiones. Que la justicia, como Arrow, se rompe cuando todos quieren tener razón. Por eso es peligroso creer tener la clave para alcanzar esa totalidad. La historia de la inteligencia humana podría contarse como la de esas distorsiones irrenunciables: proyecciones tan necesarias como falsas, invenciones que nos orientan hasta que nos desvían.
Un buen elenco de compañeros de Substack me ha suscitado las reflexiones de hoy. Todo comenzó con las proyecciones cartográficas siempre imperfectas de Miguel García Álvarez. Y con la crítica impenitente y reiterada de Pablo Malo al realismo moral. Y con las aproximaciones siempre ricas al conocimiento fragmentario pero viable que se abre entre nuestros grandes autoengaños de Sergio Parra. Y fue finalmente una expresión sintética y bella a las que suele tenernos acostumbrados Cuca Casado la que redondeó la idea. A ellos les dedico la publicación de hoy, exactamente en el segundo aniversario de esta newsletter, aunque de antemano me disculpo por su extensión. La inspiración de sus lecturas se me ha ido inevitablemente de las manos.
La intuición que me ha coagulado es, básicamente, la de una metáfora quizá no muy original pero que creo que ilumina esa herida tan humana que se abre en un ancho territorio: el de la filosofía, la ciencia, la ética y la política. En ellos se replica una dinámica que intenta converger a base de aproximaciones fragmentarias e incompatibles, pero llamadas a entenderse. El símil transversal es el de la construcción colectiva de un poliedro irregular, la verdad plausible, el bien factible, lleno de caras que hablan lenguajes inconmensurables y en ocasiones contradictorios. Pero que aspira asintóticamente a aproximarse a una esfera perfecta, inalcanzable. Cualquier construcción intermedia será impura, irregular, pero habrá de tener a la pureza en el horizonte y a la prudencia en la retaguardia. Cualquier ingenuo cree haber captado la totalidad con su sistema. Cualquiera que reflexione un poco más admite que toda verdad alcanzable es compleja, parcial, compuesta, facetada, incómoda como una piedra bajo la lengua. Pero no puede rendirse al escepticismo relativista. Es humano seguir aspirando de forma irrenunciable a ese horizonte esférico1, una suerte de realismo trascendental.
El mapa imposible
Todo mapa es una derrota elegante. El pasado verano Miguel García Álvarez nos explicaba en un brillante artículo que el mapa correcto no existe. El cartógrafo sabe que la esfera no se deja aplanar sin dolor. Su curvatura se resiste como un animal indómito a la cárcel de la geometría. En ese artículo, Miguel nos hablaba de Johann Heinrich Lambert, aquel pionero que estudió las proyecciones cartográficas a fondo y demostró que una proyección no puede ser simultáneamente conforme y equivalente. El mismo año en que fallecía Lambert nacía precisamente uno de los mayores genios de las matemáticas, Carl Friedrich Gauss quien, entre otros muchos logros, formalizó la imposibilidad de la proyección de una esfera en un plano2.
Toda proyección cartográfica debe ser, por tanto, una confesión matemática de humildad. Mercator, en el siglo XVI, ya había optado por salvar los ángulos, eligiendo conservar la conformidad en su archiconocida proyección para que los rumbos de navegación se mantuvieran constantes. Su decisión facilitaba la trazabilidad de rutas marítimas con la brújula, aunque deformaba las masas continentales, ampliando las regiones polares y comprimiendo las ecuatoriales. Como bien cuenta Miguel, Gall y después de forma oportunista Peters optaron más tarde por contrariar a Mercator y tratar de preservar las áreas, sacrificando la forma de los continentes. Después llegaron muchas otras proyecciones, con la intuición de que cuantas más caras contuviera el poliedro a desplegar sobre un plano, menos distorsión introducirían. R. Buckminster Fuller por ejemplo lo propuso en su mapa Dymaxion basado en un cuboctaedro del que también nos hablaba Miguel:
Todas estas proyecciones mutilan en algún sentido la esfera. Ninguna de ellas es totalmente verdadera, pero tampoco totalmente falsa: todas nos aproximan algo de la verdad de la geografía. Pero su prioridad es siempre incompatible con otras. Si asumimos que la Tierra es esférica, todas tratan de serle lo más fieles posibles en algún conjunto de dimensiones, pero se hallan condenadas a traicionar otro buen puñado.
A partir de este símil, es intuitivo pensar que en la filosofía y en la ciencia ocurre algo semejante: toda representación del mundo aplana una curvatura que no se deja domesticar. Los modelos físicos, los sistemas morales, las teorías económicas o las metáforas políticas son proyecciones. Cada una prioriza y preserva algo: coherencia, belleza, aplicabilidad, prestigio, sentido. Y cada una, inevitablemente, deforma lo demás. El mundo esférico de los fenómenos —complejo, continuo, caótico— trata de traducirse en superficies legibles: conceptos, ecuaciones, axiomas, narrativas, lenguajes. Pero esa trasposición siempre distorsiona. Esa traducción siempre traiciona.
Para estimar la distorsión cartográfica, el francés Nicolas Auguste Tissot inventó en el siglo XIX un modo de visualizar esa pérdida: colocó pequeños círculos sobre el globo y vio cómo se transformaban en elipses al proyectarse. Nació así la indicatriz de Tissot, una especie de huella digital de la mentira cartográfica. Los mapas del conocimiento y de la moral también podrían llevar su etiqueta de distorsión: mostrar qué agrandan y qué encogen. Pero para eso haría falta que existiera una referencia como la de la esfera. Por eso, ante la dificultad de pergeñar semejante métrica, solemos vivir pensando que nuestros planos son razonablemente fieles, que se corresponden y describen la realidad. Es el realismo ingenuo más común. Nos tranquiliza creer que el mapa coincide con el territorio. Pero, como advirtió Borges, un mapa a escala uno sería inútil, redundante. Por eso nuestras proyecciones siempre reduccionistas son necesariamente limitadas, para hacernos digerible la realidad. Por eso, cuando por fin logramos levantar un poco la mirada de nuestra verdad, como quisiera Machado3, de nuestra parcelita plana, la verdad posible que oteamos se nos manifiesta plural y poliédrica.
La cuestión que aflora entonces es que si el mapa correcto no existe, si la visión completa ad divinis4 de la que hablara Leibniz nos está vedada, y estamos condenados al perspectivismo de Ortega y Gasset, ¿a qué se debe nuestro empeño en criticar cada aproximación? ¿es porque tu verdad no se parece a la mía, y simplemente buscamos imposición o territorialidad? ¿es porque anhelamos que nuestra visión prevalezca por interés, propio o de nuestra tribu, ya sea más o menos conscientemente? ¿es porque ensayamos constantemente formas de regular y orquestar nuestra cooperación en entornos cambiantes según esos relatos? ¿O quizá sea porque el mecanismo persuasivo más efectivo para articular esa cooperación es que cada cara, cada proyección, cada propuesta nos resulte razonablemente inteligible, objetiva, verdadera, buena?
El lenguaje, con todas sus limitaciones y condicionantes, hace que las proyecciones puedan compartirse, y dentro de cada plano puedan así encajarnos racional y empíricamente. No son un mecanismo puramente irracional, retórico, emocional y relativo a cada tribu; es que gozan de una métrica reconocible y válida bajo ciertos parámetros. Una superficie cuyas reglas nos permiten alcanzar consensos intersubjetivos, una objetividad posible, una coherencia interna que se aproxima a ciertos puntos de la esfera que nos convencen. El problema, acaso, es que como en la cartografía hay dimensiones (como el área, la forma y la distancia) que son mutuamente incompatibles, que son, en cierto sentido, ortogonales.
La incomodidad de una objetividad facetada ortogonalmente
Si algo nos enseña la geometría de los mapas es que la objetividad no está simplemente vedada, sino que caben posibilidades razonables de aproximarse a ella si se fragmenta. Al escepticismo más ramplón cabe un conocimiento posible tal y como la ciencia nos ha enseñado si renuncia a la totalidad, acotando sus dominios, como caras planas cada vez más pequeñas y precisas. De hecho, la fragmentación es una asunción clave de la ciencia. El ideal renacentista de la unidad del saber —scientia una— cedió ante la especialización. Primando sus criterios de verdad5 ha profundizado mucho más y ha dado muchos más frutos. Sin embargo, la visión del polímata, interdisciplinar, advierte que cuantas más caras, más permeamos la realidad, suavizando las aristas y aproximando cada vez más el sólido a la esfera. La intuición técnica de Fuller encierra una verdad epistemológica: el mundo solo puede representarse si se acepta su discontinuidad para nosotros. Cada cara del poliedro pertenece a una comunidad epistémica distinta: física, biología, economía, teología, lingüística, ingeniería...
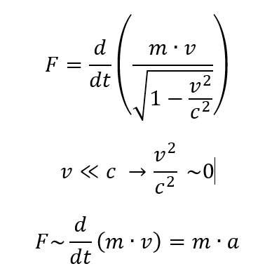
Esta fragmentación progresiva en muchas ocasiones no rechaza por completo, sino que anida. Cuando las teorías científicas son refutadas (Popper) o entran en contradicción, el conocimiento humano avanza fragmentando el poliedro para incorporar caras adicionales. La historia de la física, por ejemplo, es una secuencia de verdades parciales que nunca se anulan del todo. Newton no fue estrictamente refutado por Einstein; fue absorbido como una aproximación válida dentro de cierto rango: el de las velocidades despreciables con respecto a la de la luz:

Sin embargo, en la mayoría de las ocasiones, esa multiplicación fragmentaria para amoldarse a la esfera acaba hallando una condena: la de no poder extenderse más, la de solo poder ofrecer cortes parciales del mundo que colisionan. Cada plano teórico funciona dentro de ciertos límites de latitud y longitud cognitivas. Y acaba revelando tarde o temprano sus propias aporías y contradicciones. Así, por ejemplo, sin salirnos de la misma física, la relatividad y la mecánica cuántica describen realidades aparentemente irreconciliables. Es posible que acaben apareciendo algún día variables ocultas que las reconcilien de alguna forma6. Pero de momento sólo hemos dado con proyecciones terriblemente buenas que son, como el agua y el aceite, inmiscibles.
Dentro de cada cara plana, podemos maximizar unas métricas y encontrar leyes coherentes. Pero reiteradamente palpamos que las magnitudes que conceptualizamos acaban encontrando incompatibilidades. Se cruzan inconmensurables dentro de planos distintos. Y surgen conflictos y provisionales cambios de paradigma7. La imposibilidad de reconciliación parece empujarnos a asumir que la totalidad probablemente esté vedada, incluso para la física más elemental que aspira a esa teoría del todo8. Las aristas del poliedro se esclerotizan.
La filosofía que sigue aspirando a la totalidad, aunque ya como saber de segundo orden, anda hurgando por ahí, en los intersticios del poliedro, tratando de hallar lenguajes que los sellen. Busca si, bajo sus costuras, existe cierta coherencia elemental que entreteja las caras, en la lógica y las matemáticas que les subyacen. Pero ni siquiera en ellas. Pues parece que, más que imperfección de nuestra proyección, es la propia realidad esférica la que se incomoda ante cualquier conceptualización y se muestra esquiva. Y los ejemplos se agolpan en lógica, matemáticas, ciencias sociales e ingeniería de sistemas.
Así sucedió con las más elementales matemáticas, a las que Kurt Gödel clavó una estaca en el corazón del formalismo de Hilbert: ningún sistema matemático lo bastante potente puede ser a la vez completo y consistente. Si conseguimos su completitud, perdemos su consistencia. Si logramos su consistencia, se nos hurta que sea completo. Es decir: si encierra toda la verdad, contiene contradicciones; si las evita, deja verdades fuera. El patrón de la imposibilidad esférica se replica en el principio de incertidumbre que formuló Heisenberg según el cual no es posible determinar simultáneamente con precisión arbitraria la posición y el momento lineal de una partícula. Esta limitación no se debe a defectos del instrumento, sino a la propia naturaleza del sistema cuántico: el acto de medir una magnitud excluye el conocimiento exacto de la otra.
Los equilibrios que imposibilitan la maximización simultánea de dimensiones ortogonales proliferan en la realidad. Hay mil equilibrios biológicos, desde los fisiológicos más elementales hasta los ecológicos más complejos, que lo ilustran. El cuerpo mantiene su temperatura sacrificando eficiencia, el sistema inmunitario equilibra agresividad y tolerancia para no autodestruirse, los ecosistemas reparten energía entre depredadores y presas para no colapsar.
En la esfera técnica bien lo sabemos: las ciencias de la computación, la ingeniería de sistemas o la optimización algorítmica muestran que la realidad tozuda se rebela con las dimensiones con las que tratamos de aprehenderla. Así sucede en redes distribuidas9, en la optimización del aprendizaje supervisado10, o en la propia ética computacional11.
Esta dinámica se revela de forma palmaria en el plano social, donde la complejidad aumenta las dificultades para lograr la cuadratura del círculo, ofreciendo óptimos locales y límites infranqueables. Así por ejemplo sucede con la eficiencia de Pareto, que muestra que cualquier intento de incrementarla en una dimensión — por ejemplo, la equidad o el bienestar agregado — exige sacrificar otra. O también con el teorema de imposibilidad de Arrow que prueba matemáticamente que no existe un mecanismo de voto que satisfaga al mismo tiempo las condiciones de racionalidad colectiva, independencia de alternativas irrelevantes, unanimidad y libertad individual: siempre hay una renuncia necesaria en el diseño de la decisión colectiva. Ningún orden económico, político ni moral puede maximizarlo todo.
En esencia, se cumple lo que mi profesor de instrumentación electrónica, tratando de mejorar la precisión, sensibilidad y eficiencia de los circuitos modificando sus elementos, sintetizaba castizamente:
Lo que es bueno para el bazo es malo para el espinazo
La moraleja cognitiva que extraemos es que nuestra aproximación, limitada per se o vedada por la realidad, resulta ser siempre una constelación de imposibilidades que dibujan una frontera de variables ortogonales: cada una mide una dimensión legítima, pero ninguna puede absorber a las demás. La realidad parece escurridizamente esférica, como una pompa de jabón inaprensible, diseñada para castigarnos cuando pretendemos atraparla entre planos. Y cuando queremos mejorar nuestra aproximación, nos encontramos encerrados en ciertos espacios en los que cualquier mejora se efectúa en detrimento de las demás.
Estos límites no son defectos del método, sino que su resistencia misma estimula nuevas formas de conocimiento: al indicar de alguna forma que el mundo se curva impidiendo que nuestras categorías coincidan, estimula la aparición de nuevas caras. El conocimiento se vuelve adulto cuando deja de buscar la fórmula que lo resuelva todo y acepta la coexistencia de tensiones irreductibles que seguir explorando. De hecho, la ortogonalidad no es una derrota; es una topología del sentido. Las variables no son enemigas, sino vectores que construyen un espacio posible. Lo que cambia es nuestra posición dentro de él.
Sin embargo, la ciencia tiene claro que esta incompatibilidad no nos puede conducir a la renuncia. El afán de verosimilitud sigue espoleando el avance científico, teórico y experimental. Es cierto que el poder reduccionista de la física no hace sucumbir a las demás ciencias, no sólo por una cuestión práctica o técnica (nos resultaría imposible modelar al nivel físico el comportamiento de sistemas sociales complejos) sino porque esa misma física y las matemáticas en que descansan tienen los pies de barro, llegan heridas de origen. No hay teoría que domine a todas; solo equilibrios distintos de fidelidad y generalidad, elegancia y exactitud, verificabilidad y poder explicativo.
Sin embargo, en la esfera social, en la que todo es aún más difícil, el relativismo típicamente postmoderno parece haberse entregado a esa renuncia. Especialmente cuando la ciencia desmonta las intuiciones más elementales que lo acompañan, deshace nociones como la del sujeto y su libertad, y hace que el plano moral parezca flotar en un espacio en el que todo parece valer lo mismo, mero crisol de opciones niveladas. El pluralismo estructural necesario renuncia a seguir tendiendo puentes que rompan si es preciso cada plano.
Si damos por razonablemente buena esta metáfora geométrica para el avance del conocimiento, ¿serviría para aproximamos a las cuestiones de la moralidad y de la política? ¿podría servir este símil para hibridar el ser y el deber ser? ¿podría contribuir a iluminar, aunque no resuelva, la eterna discusión entre quienes predican un realismo moral y quienes predican un relativismo absoluto? ¿Qué hay del abismo que se abre entre quienes persiguen de forma temeraria la perfección de la utopía y quienes renuncian por completo a ella?
Del plano epistémico al ético
Trasladar la metáfora de la esfera y el poliedro de la ciencia a la ética es temerario, lo admito. En esta nivelación soy bien consciente de que nada tiene que ver el poder epistémico de la ciencia con el de la moral. Pero no es un salto gratuito. En primer lugar, porque, en cierto modo, este vínculo reconoce a Bourdieu y a su capitalismo simbólico, del que tanto ha escrito Sergio Parra: toda afirmación de verdad circula también como una afirmación de posición dentro de un campo. El científico, el artista o el moralista no solo enuncian hechos o valores, sino que se ubican en un espacio de legitimación. La frontera entre creencia epistémica — que versa sobre lo que es verdad — y creencia funcional — la que nos permite identificarnos y vernos reconocidos dentro de un grupo — se vuelve así difusa. Una teoría física puede operar como emblema de pertenencia institucional tanto como un dogma religioso; una moral igualitaria puede funcionar como descripción empírica de la cooperación humana tanto como señal de identidad política. La información y el estatus viajan en el mismo canal, como portadora y moduladora en una señal analógica.
No puede ignorarse que la función de reconocimiento se infiltra en todos los dominios. Así validación y verificación no pueden caminar tan disjuntas. Y entre ellas, en ocasiones, surgen incompatibilidades, equilibrios de Pareto. Por eso, en primer lugar, es pertinente formular esta misma metáfora en el plano ético y político, para que hablar de métricas de reconocimiento nos permita también alumbrar las costuras que pueden limitar el progreso del conocimiento. Para distinguir, dentro del espacio social, qué coordenadas corresponden a verdad y cuáles a pertenencia. Y expandir ambos poliedros.
Pero, sobre todo, la pertinencia de trasladar esta metáfora se encuentra en que permite comprender cómo cada sistema ético representa una función de optimización distinta sobre un conjunto de valores inconmensurables. Los conflictos éticos no son errores de cálculo, sino colisiones entre funciones objetivo incompatibles. Y la sabiduría práctica — la phronesis aristotélica — es, en el fondo, una heurística de navegación por el borde de Pareto moral, allí donde cualquier mejora exige un sacrificio medido. Las variables ortogonales de la moralidad adoptan nombres que nos resultan familiares: libertad, igualdad, bienestar, dignidad, autonomía, justicia. Por ahí iría probablemente esa intuición de Isaiah Berlin cuando hablaba de los “bienes inconmensurables” que imposibilitan de facto cualquier moral universalista.
De hecho, la economía del bienestar que trató de materializar esas aspiraciones morales al plano de la economía política ha intentado reiteradamente cuantificarlos mediante funciones de utilidad social, pero el citado teorema de imposibilidad de Arrow y también el de Sen han demostrado que la agregación de preferencias individuales no puede cumplir simultáneamente los requisitos de equidad, racionalidad y libertad. En ética normativa, algo análogo sucede entre el deontologismo, el utilitarismo y el contractualismo: sistemas completos y coherentes internamente resultan incompatibles entre sí en cuanto se les exige universalidad — globalidad esférica.
Esa incompatibilidad refuerza la tesis de que nuestros sistemas morales tienen los pies de barro: Pablo Malo y sus múltiples referencias reiteran esta raigambre natural de nuestros sistemas morales y su persistente arquitectura separada entre el endogrupo y el exogrupo. Pero además de esas raíces biológicas y tribales, la aspiración por formalizar una moral objetiva podría estar maniatada cognitivamente por la propia naturaleza poliédrica de toda moral que aspira armarse como moral universal. Para Pablo y otros muchos el realismo moral más ingenuo, tratando de conocer esa ética formal “esférica”, se vuelve incompatible con la teoría de la evolución. Las evidencias muestran cómo las creencias morales firmes, percibidas como verdades absolutas y universales, tienen un lado oscuro, que genera dogmatismo, intolerancia, polarización y violencia. Pablo ha sido prolífico en ello, hasta el punto de considerar que no ha existido en nuestra historia un progreso moral.
Sin embargo, una cierta contradicción parece aflorar: ¿desde qué referencia puede sostenerse que exista ese lado oscuro? ¿qué patrón nos permite entendernos cuando afirmamos que la comparación entre códigos morales impide hablar de progreso? ¿no late en el fondo una suerte de realismo trascendental, inalcanzable, de tipo esférico? La fuerza del conflicto moral no surge tanto del ímpetu con que queremos imponer nuestra propia jerarquía de valores, como de la evidencia de que cada una de ellas, en alguna de sus múltiples dimensiones, se nos antoja como una aproximación mejor a esa universalidad aceptable por todos. Nuestra cara moral del poliedro, bajo algún criterio ético, se aproxima más a la esfera del bien.
Con esta analogía, la cuestión quizá no sea tanto que el realismo moral sea necesariamente falso, sino ingenuo porque cree factible alcanzar puntos de tangencia con la esfera. La historia como maestra ilumina lastimosamente este candor pueril del realismo moral. Han resultado reiteradamente vanos los intentos por formalizar una ética universal lo más aséptica y transversal posible12. Pero no todo en él es despreciable: en realidad revela esa aspiración tan humana como irrenunciable a buscar no sólo lo que es verdadero para la ciencia — mientras, nos contentamos provisionalmente con lo verosímil — sino también lo que es bueno universalmente, en todo tiempo y lugar — mientras, nos contentamos provisionalmente con un espacio de pluralidad axiológica.
Ciertamente, las métricas morales operan sobre superficies, caras o espacios que suelen estar muy arraigados a ciertos endogrupos. Y cuando tratan de intersecarse, entran en conflicto, a pesar de que coincidan en abstracto en ciertos principios transversales que, sin embargo, parecen reservados sólo a los miembros de la tribu, como denuncia Pablo. Pero esto obedece al hecho de que la moral no ha explicitado todas las dimensiones que estructuran el plano en el que se mueve. Particularmente, el de la pertenencia, como criterio de validación moral esencial. El resultado es que toda valoración moral implica una pérdida estructural en cuanto supera los límites de su plano — de su tribu, de su endogrupo.
La ética, vista desde esta óptica, es un problema de optimización multiobjetivo en un espacio de restricciones no convexas. Por eso la deliberación práctica no puede resolverse por deducción lógica: necesita métodos aproximativos, algoritmos evolutivos de aprendizaje, iteraciones de experiencia. Es posible considerar que este es un simple proceso evolutivo que no está dirigido hacia ningún telos, hacia ningún fin. Pero las creencias que nos pueblan, ya sean epistémicas o simbólicas, revolotean entorno a esa misma esfericidad del realismo moral como lo hacen del realismo ingenuo, anhelando converger hacia ambos aunque sea asintóticamente. Y desde esa óptica cabe replantear la tesis del posible progreso moral — parcial y frágil.
Sergio Parra nos reitera con asiduidad, tanto en el plano epistémico como el moral, con ejemplos diversos y estudios, la idea de que el realismo ingenuo es un error, que en seguida corregimos ante cualquier disonancia cognitiva para seguir dándonos la razón y justificarnos. Creemos con facilidad en ser inmunes a la corrupción, que nuestras antipatías hacia los otros no son irracionales, que estamos libres de sesgos, que vivimos en un consenso moral en cuyo centro nos ubicamos, y un sinfín más de creencias absurdas porque somos mayoritariamente tontos y enormemente interdependientes. Pero su propia encomiable labor por sacarnos de la zona de confort y estimular un pensamiento crítico alternativo, cultivando el tridente de Stuart Mill13, apelando a la libertad de expresión, a la apertura humilde a estar constantemente equivocados y a deshacer ese nudo de nuestra razón revelan de fondo una misma aspiración a que la yuxtaposición de nuestras perspectivas “ingenuamente realistas” puedan ayudarnos a enhebrar un realismo trascendental colectivo más plausible; una ética de mínimos razonablemente compartida.
Así pues el tránsito del plano epistémico al ético de la metáfora reconoce que las distorsiones cognitivas de un mapa se repiten aquí como distorsiones morales al incardinarse en una tribu y un tiempo — probablemente resultando mucho más groseras. El pluralismo contemporáneo de las sociedades abiertas busca multiplicar las caras del poliedro, que siempre eligen qué preservar o priorizar — autonomía o equidad, mérito o compasión. Y lo hacen aun a riesgo de dar cabida a ocurrencias absurdas y de disolver cierto consenso que les permita sobrevivir con una mínima cohesión.
Sin embargo, sin la aspiración universal no hay mejora posible. Aunque nunca toquemos la esfera, la brújula crea el gradiente, genera el vector de mejora en cada instante. Y, en mi opinión, la evolución histórica de los sistemas morales no revela simplemente un movimiento caótico de grupos étnicos adaptándose al movimiento contingente, sino un intento repetido — para quienes retienen las lecciones aprendidas de la historia humana — de orientar la brújula en distintas circunstancias históricas y culturales hacia un mismo norte: el de la base biológica, cultural y racional que compartimos como especie. El salto a la política es, entonces inevitable: Mientras no creamos factible llegar al reino de la utopía, el camino hacia ella nos hará mejores.
El peligro necesario de la utopía
La creencia en la utopía como norte que orienta a esa brújula lleva un riesgo inevitable. Creer que era factible llevó a los totalitarismos a provocar masacres y genocidios. Isaiah Berlin lo advirtió con lucidez hablando de la humanidad como ese fuste torcido: de la madera arqueada de la que estamos hechos no puede tallarse nada completamente recto. Toda empresa que ignore esa torsión — esa mezcla irreductible de impulsos, pasiones, errores y contradicciones — acaba por violentar la realidad en nombre de la pureza. El siglo XX ofreció ejemplos atroces: regímenes que, convencidos de haber hallado la fórmula del bien común, creyeron legítimo sacrificar a millones en el altar de la perfección colectiva.
El peligro necesario de la utopía es ése: que su potencia movilizadora se transforme en justificación totalitaria. Pero su ausencia no es menos peligrosa. Sin utopías nos espera la entropía moral, el cinismo que todo lo nivela. O la proliferación pendular de ideologías que distorsionan hasta el paroxismo el equilibrio de los poliedros que veníamos construyendo. Por ejemplo, es posible que la legítima lucha por la justicia social y la reparación de las víctimas haya degenerado en los últimos años en la ideología woke, que en algunos ámbitos se ha vuelto especialmente hegemónica. Se ha maximizado así un conjunto de caras del poliedro moral hasta desfigurarlo, porque en su equilibrio ortogonal ha distorsionado otras que nos parecían irrenunciables hasta hace no tanto, como la presunción de inocencia, la libertad de expresión o la evidencia científica de la carga genética en nuestro comportamiento. Pero sin la aspiración equilibrada del pluralismo dialécticamente combativo, que delibere y ponga a prueba sus creencias, que proporcione evidencias y arme argumentos sólidos, sólo asistiremos al constante vaivén de la suplantación de unas ideologías por otras. Abandonar la aspiración esférica por lo inalcanzable nos deja en manos del relativismo de la disolución, nos entrega en el caos discursivo en el que los más fuertes suelen imponer su ley.
El reto, probablemente, es el que se extiende en el terreno más difícil y fértil entre lo que es y lo que debería ser, sin convertir lo segundo en dogma ni resignarse ante lo primero. Entre quienes rechazan tanto el establecimiento de un Estado moral, como su completo desmantelamiento que crea el caos en ausencia de civilización, ese en el que reinan los “Señores de la moral” sin espacios compartidos. Ese desafío es el del equilibrio constantemente desequilibrado e incierto. Que nos requiere no dejar de apuntar a la esfera ideal sabiendo que no la tocaremos, pero seguir manteniendo incentivos para depurar el poliedro, para mantener esa fluctuación controlada y abierta, sin obsesionarnos por caras que lo deformen, alejándolo de la esfera por la cara oculta más insospechada.
Siguiendo de nuevo a Isaiah Berlin y su metáfora de los erizos y los zorros, es preciso que ambos pueblen nuestras aspiraciones cognitivas, éticas y políticas. En esa fábula animal, el erizo se erige como la figura de quien sabe una gran cosa; y el zorro como la de quien sabe muchas pequeñas. El primero busca la unidad de principio; el segundo, la pluralidad de métodos. Trasladado al símil geométrico, si el erizo sueña con la esfera perfecta, el zorro anda saltando entre las caras del poliedro. El problema es que ninguna de las dos naturalezas basta por sí sola. El erizo corre el riesgo de convertir su gran idea en una proyección totalitaria: la geometría del mapa como dogma moral. El zorro, por su parte, puede dispersarse en tácticas sin rumbo, en relativismo oportunista. La madurez intelectual consiste probablemente en mantener la tensión entre ambos: el deseo de totalidad, acaso irrenunciable, y la humildad del fragmento.
La modernidad nos educó en la idea de que la perfección era alcanzable. Pero el siglo XX en el que eclosionó la postmodernidad — con su crítica ideológica de los grandes metarrelatos, sus teoremas de imposibilidad, sus catástrofes políticas y su física de la incertidumbre — nos enseñó que toda forma de totalidad contiene su propio desgarro. Lo que queda, entonces, no es resignación, sino la responsabilidad de tomar el testigo y aprender a habitar la frontera que nos toca. Hacerla nuestro hogar tolerando con humildad la incertidumbre. Tarea de erizos inspiradores y zorros pragmáticos.
Al final, todo vuelve a una tensión con la que hemos de convivir sin resolverla: la que se da entre la altura del ideal y la gravedad de lo real. Sobre ese eje, Cuca Casado lo expresaba con una precisión luminosa, sintética y bella como nos suele acostumbrar con sus Despertares acudiendo a conceptos griegos:
Entre el kalón -noble- y el humus -humilde- se extiende la geografía moral del ser humano. De lo primero heredamos la aspiración hacia la belleza y la virtud, la nobleza que se eleva en busca de armonía y sentido; de lo segundo, la conciencia de nuestro origen terrestre, la humildad que recuerda que todo lo que florece lo hace desde la tierra. Kalon nombra lo que merece admiración, lo que brilla ante la mirada de los otros; humus, en cambio, lo que nutre desde lo invisible, el fondo silencioso del que brota toda vida. Quizá la verdadera grandeza consista en mantener un pie en cada territorio: elevarse sin perder la raíz, buscar la luz sin despreciar la sombra. Porque solo quien recuerda de qué tierra procede puede aspirar a ser verdaderamente noble; y solo quien reconoce en sí una vocación de altura puede honrar, con su gesto, la tierra que lo sostiene.
Gracias a todos por la inspiración.
Y, como siempre, gracias por leerme y participar.
Sé que el símil tiene limitaciones y en algunos aspectos no es muy acertado: La realidad, la verdad, probablemente no sea tan armónica ni tan simple como una esfera, sino más bien irregular, imprevisible, inaprensible. Es posible que sea en última instancia ininteligible. O que ni siquiera exista tal verdad, ni una realidad única en sí. Pero creo que puede admitirse que todos los seres humanos viven en la creencia compartida de que, aun siendo en última instancia incognoscible, existe una una verdad que versa sobre una realidad, más allá de toda perspectiva y percepción. Como el noúmeno de Kant, aunque sólo sea como creencia compartida. La metáfora esférica quizá tenga limitaciones, porque la propia Tierra dista mucho de ser esférica. Pero como todo arrancó con aquel artículo, he seguido cautivo del símil hasta el final.
En 1827 demostró con su theorema egregium que la curvatura es una propiedad intrínseca, y que por tanto no puede conservarse al pasar del globo al plano.
Me refiero al poema en el que Antonio Machado escribía:
¿Tú verdad? no, la verdad;
y ven conmigo a buscarla.
La tuya guárdatela.
El perspectivismo ad divinis de Leibniz parte de su concepción de las mónadas como centros de percepción parcial e irrepetible del universo: cada una refleja el todo desde su punto de vista, sin comunicación directa con las demás. Ninguna, salvo Dios, puede abarcar la totalidad de perspectivas simultáneamente. En Él —la monas monadum— todas las visiones se armonizan sin contradicción, pues contempla el universo “desde todos los puntos de vista a la vez”. En los seres finitos, en cambio, el conocimiento es siempre limitado, sesgado y relativo a su posición. La verdad absoluta existe, pero sólo como integración divina de todas las perspectivas posibles.
Básicamente, la coherencia matemática y la correspondencia empírica, como asideros externos a los sesgos humanos. El taburete de una sola pata del que habla Sergio Parra y que bien resumía Sergio San Juan aquí.
La desigualdades de Bell mostraron que no existían variables ocultas locales, tal y como predecía la teoría de la relatividad de Einstein. Por tanto, la física actual se halla en una encrucijada aparentemente ortogonal: Si queremos conservar el realismo clásico — que las cosas tienen propiedades bien definidas con independencia de que alguien las observe o mida —, rompemos con la mecánica cuántica. Si queremos preservar la coherencia interna de la mecánica cuántica sin renunciar al realismo, rompemos los límites de la comunicación local que impone la relatividad (nada viaja a mayor velocidad que la de la luz). Y si queremos mantener el éxito empírico de ambas teorías y conciliarlas, debemos entonces reformular qué entendemos por causalidad y por espacio-tiempo a un nivel más profundo y contraintuitivo.
Los cambios de paradigma de Kuhn o el anarquismo epistemológico de Feyerabend vienen a escenificar que en ciencia no se reemplazan unas verdades por otras, sino que se recomponen las caras del poliedro epistémico, fragmentándolas y recolocándolas (junto a sus respectivas dimensiones), para acabar dibujando nuevas fronteras en el intento por expandir nuestro espacio cognitivo.
De hecho, la llamada teoría del todo busca un marco único que unifique las cuatro interacciones fundamentales de la naturaleza — gravedad, electromagnetismo y fuerzas nuclear fuerte y débil — bajo una sola formulación coherente. La relatividad general describe con éxito la gravedad y el cosmos a gran escala, mientras que la mecánica cuántica gobierna el mundo subatómico, pero sus principios son incompatibles: una trata el espacio-tiempo como continuo y geométrico; la otra, como discreto y probabilístico. En cierto modo, una vieja polémica entre las cosmovisiones de Newton y Descartes. Los principales intentos de conciliación han sido la teoría de cuerdas, que postula dimensiones adicionales y partículas como vibraciones de una misma entidad fundamental; y la gravedad cuántica de bucles, que propone un espacio-tiempo granular. Ninguna ha sido confirmada empíricamente, de modo que esa teoría del todo sigue siendo más un ideal filosófico y matemático — heredero del sueño de Einstein — que una teoría asentada. Quizá un sueño imposible fuera del alcance de nuestra especie, incluida nuestra tecnología: Los avances recientes en gravedad cuántica y el uso de inteligencia artificial para explorar el vasto paisaje de teorías — como la de cuerdas — apuntan a nuevas vías, aunque sin resultados verificables ante el abismo experimental, pues las energías necesarias para comprobar una teoría unificada están de momento fuera de nuestro alcance. Acaso pendientes de una nueva tecnología para la próxima revolución científica.
El el teorema CAP enuncia que las redes distribuidas no pueden garantizar simultáneamente la consistencia —que todos los nodos compartan la misma información al mismo tiempo—, la disponibilidad —que el sistema siempre responda a las peticiones— y la tolerancia a fallos —que siga operando pese a caídas de red. Solo se pueden elegir dos de las tres.
En la optimización del aprendizaje supervisado, se demuestra que ningún algoritmo es capaz de superar a todos los demás en cualquier tipo de problema: un método eficaz para un dominio pierde rendimiento en otro, tal y como lo demuestra el teorema No-Free-Lunch.
En ética computacional, los distintos criterios de equidad estadística (por ejemplo, igualar tasas de error o probabilidades predictivas) son incompatibles si las tasas base entre grupos difieren; optimizar uno de esos criterios distorsiona inevitablemente los demás.
De hecho, quizá su versión más esférica adelgazada hasta el grosor de una pompa de jabón fue la del imperativo categórico kantiano. Sin embargo, incluso esa formulación que acaba considerando a las personas como fines en sí mismos como ley primordial sigue rezumando cristianismo, con la innegociable dignidad de todos los hijos de Dios en su epicentro, y que bien rechazarían las morales más tribales que distinguen entre el nosotros y el ellos, los compatriotas y los bárbaros, y por supuesto las morales supremacistas.
Citando a Sergio:
El tridente de Mill sugiere que sólo hay tres posibilidades ante cualquier argumento dado, y es el mejor argumento para asumir siempre cierta humildad al tiempo que defendemos la libertad de expresión:
Estás equivocado, en cuyo caso la libertad de expresión es esencial para permitir que la gente te corrija.
Tienes parte de razón, en cuyo caso necesitas libertad de expresión y puntos de vista contrarios para ayudarte a obtener una comprensión más precisa de cuál es realmente la verdad.
Tienes toda la razón. En el improbable caso de que la tengas, sigues necesitando que la gente discuta contigo, intente contradecirte y demuestre que estás equivocado. ¿Por qué? Porque si nunca tienes que defender tus puntos de vista, es muy probable que no los entiendas del todo y que los mantengas como si fueran un prejuicio o una superstición. Solo discutiendo con puntos de vista contrarios llegas a comprender por qué lo que crees es cierto.









Estimado Javier.
He de confesarte que he necesitado un par de lecturas para poder empaparme de todo tu ensayo y hasta me lo he impreso para poder subrayar y tomar notas. La forma de hilar conceptos e ideas y, además, de hilarnos a los 4 contigo es muestra inequívoca de la intersubjetividad —tensa— en la que nos hayamos: es en ese "entre" donde se teje la vida con todas sus facetas y claroscuros.
Entre nuestras aproximaciones a la vida y la tuya has dado lugar a un "entre" alible para con un tercero: los lectores.
Tu mapa es, también, un faro.
Gracias, de corazón.
Me encantó el símil del mapa. La esfera es, en efecto, el motor de nuestro progreso.
La aspiración a la totalidad es irrenunciable porque no es el destino, sino el vector de optimización. Nos da dirección.
El valor real reside en asegurar que cada nueva cara del poliedro que construimos sea una mejora medible respecto a la anterior, aunque la perfección esté siempre a un paso de distancia. El gap es lo que nos hace avanzar.